选课中心
7099人选课
GMAT公开讲座
0元
GRE公开讲座
0元
一对一体验课
99元
GMAT模考网站
10000人
GRE模考网站
GMAT课程
GRE课程
托福辅导课程
【定制】1v1
私人订制
资料下载
考前冲刺
扫码添加助教
免费领取
备考资料大礼包
扫码关注公众号
新东方在线为大家精心整理了GMAT数学知识与技巧总结:方程与方程组的相关内容,供大家参考,希望对大家有所帮助!
一、方程与方程组
引入:
例1:蓝皮书P133第三题
If y=5 -2 and =3,then y=?
(A) 24
(B) 27
(C) 39
(D) 51
(E) 219
例2:蓝皮书P136第20题
If y≠3 and 3 /y is a prime integer greater than 2 ,which of the following must be true ?
Ⅰ. = Ⅱ. =1
Ⅲ. and are prime integers
(A) None
(B) Ⅰ only
(C) Ⅱ only
(D) Ⅲ only
(E) Ⅰand Ⅲ
例3:蓝皮书P136第24题
If 2x=3y=10,then 12xy=?
(A) 1,200
(B) 200
(C) 120
(D) 40
(E) 20
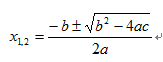
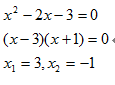
一元二次方程


一般常用因式分解法:

十字交叉法
例1:蓝皮书P140第50题
If x is a number such that and , what is the value of ?
(A)-2
(B)-1
(C)0
(D)1
(E)2
例2:蓝皮书P173第264题
(E) none of the above
例3:蓝皮书P210第499题
In a certain game, a large container is filled with red, yellow, green, and blue beads worth, respectively, 7, 5, 3, and 2 points each .A number of beads are then removed from the container. If the product of the point values of the removed beads is 147,000, how many red beads were removed?
(A)5
(B)4
(C)3
(D)2
(E)0
例4:蓝皮书P155第148题
If and are positive integers and , what is the value of
(A)3
(B)5
(C)6
(D)8
(E)9
界定范围法
例1:蓝皮书P143第69题

(A)0.004
(B)0.02775
(C)2.775
(D)3.6036
(E)36.036
例2:蓝皮书P148第98题
Of the following,which if closest to 
(A)7.5
(B)15
(C)75
(D)150
(E)750
例3:蓝皮书P144第76题
is between
(A)3 and 4
(B)4 and 5
(C)5 and 6
(D)6 and 7
(E)7 and 8
2.二元一次方程组
消去其中一个元素即可
例1:
(1)
(2)
(1)—(2),消去y,得x=1,y=2
蓝皮书P147第92题
If and ,what is the value of ?
(A)4
(B)70/19
(C)64/19
(D)56/19
(E)40/19
注意:并不是任何二元一次方程组都有唯一解。
例2:
(1)
(2)
上述方程有无穷多解。
例3:
(1)
(2)
无解。
3.二元二次方程组
一般只考如下形式:
(1)
(2)
即其中的一个方程为一次。这种形式等价于一元二次方程,把(1)代入(2)即可。
4.不等式
如果不等式两边同时乘以或者除以一个负数,这时不等式的方向发生变化。
如果不等式两边同时乘以或者除以一个正数,这时不等式的方向不发生变化。
若a b>0,a>0,则b>0
若a>b,c>0,则ac>b c
若a>b,c<0,则ac
若|x—a|则—b
若|x—a|>b,则x—a>b或x—a<—b
例:若n=kp 且 p>0,k>p?
(1)n
(2)n>K2
以上就是新东方在线为大家总结的GMAT数学知识与技巧总结:方程与方程组的相关内容,最后预祝大家在GMAT考试中取得优异的成绩!
| GMAT直播VIP小班 | GMAT直播精讲班 | GMAT录播课 |
| (VIP小班/全科班+1对1) | (全科精讲/单项备考) | (全科班/单项班) |
| 72.5课时 ¥18800 | 61课时 ¥7796 | 134课时 ¥14680 |
本文关键字: GMAT数学备考要点 GMAT数学备考指导
资料下载
新东方GMAT佛脚词汇1.0版本
发布时间:2023-06-30添加新东方美研助教号
回复【资料】获取
新东方GMAT数学500题资料下载
发布时间:2023-05-26添加新东方美研助教号
回复【资料】获取
新东方GMAT800题资料下载
发布时间:2022-05-21添加新东方美研助教号
回复【资料】获取
1000句GMAT真实句子改错问题
发布时间:2022-04-17添加新东方美研助教号
回复【资料】获取
2024杨鹏阅读难句(GMAT+GRE)教程
发布时间:2022-04-17添加新东方美研助教号
回复【资料】获取
新东方GMAT数学500题(解析及答案)
发布时间:2019-11-27添加新东方美研助教号
回复【资料】获取
新东方GMAT800题(逻辑+语法+阅读)
发布时间:2019-11-27添加新东方美研助教号
回复【资料】获取
新东方GMAT佛脚词汇1.0版本
发布时间:2019-11-27添加新东方美研助教号
回复【资料】获取
GMAT词汇/长难句/语法资料大全
发布时间:2019-11-27添加新东方美研助教号
回复【资料】获取
GMAT语文考试圣经(Bible)电子版
发布时间:2019-11-27关注新东方在线美研订阅号
回复【GMAT】获取
GMAT推理圣经PDF电子版
发布时间:2019-11-27添加新东方美研助教号
回复【资料】获取
GMAT考试OG五个版本题号对照表
发布时间:2019-11-27添加新东方美研助教号
回复【资料】获取
GMAT Ultimate Grammar电子书籍PDF
发布时间:2019-11-27添加新东方美研助教号
回复【资料】获取
添加美研助教号,
回复【GMAT】获取备考必看资料包

推荐阅读
GMAT数学对于大部分中国GMAT考生来说难度都不算太大,但是想要拿下满分还是有一定难度。尤其不少同学会败在GMAT专业词汇上。今天新东方在线gmat就来给大家盘点一下GMAT数学代数词汇之基本运算词汇。
来源 : 网络综合整理 2023-06-18 23:34:24 关键字 : GMAT数学代数词汇 GMAT词汇
GMAT数学对于大部分中国GMAT考生来说难度都不算太大,但是想要拿下满分还是有一定难度。尤其不少同学会败在GMAT专业词汇上。今天新东方在线gmat就来给大家盘点一下GMAT数学代数词汇之基本数学概率词汇。
来源 : 网络综合整理 2023-06-18 23:26:35 关键字 : GMAT数学代数词汇 GMAT词汇
GMAT数学对于大部分中国GMAT考生来说难度都不算太大,但是想要拿下满分还是有一定难度。尤其不少同学会败在GMAT专业词汇上。今天新东方在线gmat就来给大家盘点一下GMAT数学高频词汇之代数数论词汇,赶紧记下来吧!
来源 : 网络综合整理 2023-06-18 23:19:56 关键字 : GMAT数学高频词汇 GMAT词汇
GMAT数学对于大部分中国GMAT考生来说难度都不算太大,但是想要拿下满分还是有一定难度。尤其不少同学会败在GMAT专业词汇上。今天新东方在线gmat就来给大家盘点一下GMAT数学高频词汇之代数词汇,赶紧记下来吧!
来源 : 网络综合整理 2023-03-03 23:45:37 关键字 : GMAT数学高频词汇 GMAT词汇
GMAT数学对于大部分中国GMAT考生来说难度都不算太大,但是想要拿下满分还是有一定难度。尤其不少同学会败在GMAT专业词汇上。今天新东方在线gmat就来给大家盘点一下GMAT数学高频词汇之数论词汇,赶紧记下来吧!
来源 : 网络综合整理 2023-03-03 23:42:33 关键字 : GMAT数学高频词汇 GMAT词汇
GMAT数学对于大部分中国GMAT考生来说难度都不算太大,但是想要拿下满分还是有一定难度。尤其不少同学会败在GMAT专业词汇上。今天新东方在线gmat就来给大家盘点一下GMAT数学高频词汇之几何,赶紧记下来吧!
来源 : 网络综合整理 2023-02-24 20:39:54 关键字 : GMAT数学高频词汇 GMAT词汇
GMAT数学对于大部分中国GMAT考生来说难度都不算太大,但是想要拿下满分还是有一定难度。尤其不少同学会败在GMAT专业词汇上。今天新东方在线gmat就来给大家盘点一下GMAT数学高频词汇之代数,赶紧记下来吧!
来源 : 网络综合整理 2023-02-24 20:38:08 关键字 : GMAT数学高频词汇 GMAT词汇
GMAT数学对于大部分中国GMAT考生来说难度都不算太大,但是想要拿下满分还是有一定难度。尤其不少同学会败在GMAT专业词汇上。今天新东方在线gmat就来给大家盘点一下GMAT数学高频词汇之算术,赶紧记下来吧!
来源 : 网络综合整理 2023-02-24 20:16:43 关键字 : GMAT数学高频词汇 GMAT词汇
新东方在线GMAT频道为大家带来GMAT数学答题注意点,希望对大家GMAT备考有所帮助。更多精彩尽请关注新东方在线GMAT频道! 1、度量单位
新东方在线GMAT频道为大家带来GMAT数学专用词汇,希望对大家GMAT备考有所帮助。更多精彩尽请关注新东方在线GMAT频道! Absolute val
GRE录播课(全科班/单项班)
GMAT6-8人直播VIP小班
托福直播精讲班(30天/60天)
资料下载
添加新东方美研助教号
回复【资料】获取
添加新东方美研助教号
回复【资料】获取
添加新东方美研助教号
回复【资料】获取
添加新东方美研助教号
回复【资料】获取
添加新东方美研助教号
回复【资料】获取
添加新东方美研助教号
回复【资料】获取
添加新东方美研助教号
回复【资料】获取
添加新东方美研助教号
回复【资料】获取
添加新东方美研助教号
回复【资料】获取
关注新东方在线美研订阅号
回复【GMAT】获取
添加新东方美研助教号
回复【资料】获取
添加新东方美研助教号
回复【资料】获取
添加新东方美研助教号
回复【资料】获取
阅读排行榜
相关内容