选课中心
7099人选课
GMAT公开讲座
0元
GRE公开讲座
0元
一对一体验课
99元
GMAT模考网站
10000人
GRE模考网站
GMAT课程
GRE课程
托福辅导课程
【定制】1v1
私人订制
资料下载
考前冲刺
扫码添加助教
免费领取
备考资料大礼包
扫码关注公众号
新东方在线为大家精心整理了GMAT数学知识与技巧总结:数列与集合的相关内容,供大家参考,希望对大家有所帮助!
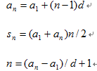
等差数列

例:小于100的自然数中有多少个是3的倍数?
蓝皮本P201第444题
How many integers between 324,700 and 458,600 have tens digit 1 and units digit 3 ?
(A)10,300
(B)10,030,
(C)1,353
(D)1,352
(E)1,339
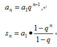
2.等比数列
,

蓝皮本P169第237题

蓝皮本P179第299题

王小丫的难题:A or B ?
3.集合
无重复元素的序列(或数列)就是集合。

I=A+B—A B+非A非B
I=A+B+C—A B—B C—C A+A B C+非A非B非C
例:小于100的自然数中有多少个即不被2整除又不被5整除?
以上就是新东方在线为大家总结的GMAT数学知识与技巧总结:数列与集合的相关内容,最后预祝大家在GMAT考试中取得优异的成绩!
| GMAT直播VIP小班 | GMAT直播精讲班 | GMAT录播课 |
| (VIP小班/全科班+1对1) | (全科精讲/单项备考) | (全科班/单项班) |
| 72.5课时 ¥18800 | 61课时 ¥7796 | 134课时 ¥14680 |
本文关键字: GMAT数学备考要点 GMAT数学备考指导
资料下载
新东方GMAT佛脚词汇1.0版本
发布时间:2023-06-30添加新东方美研助教号
回复【资料】获取
新东方GMAT数学500题资料下载
发布时间:2023-05-26添加新东方美研助教号
回复【资料】获取
新东方GMAT800题资料下载
发布时间:2022-05-21添加新东方美研助教号
回复【资料】获取
1000句GMAT真实句子改错问题
发布时间:2022-04-17添加新东方美研助教号
回复【资料】获取
2024杨鹏阅读难句(GMAT+GRE)教程
发布时间:2022-04-17添加新东方美研助教号
回复【资料】获取
新东方GMAT数学500题(解析及答案)
发布时间:2019-11-27添加新东方美研助教号
回复【资料】获取
新东方GMAT800题(逻辑+语法+阅读)
发布时间:2019-11-27添加新东方美研助教号
回复【资料】获取
新东方GMAT佛脚词汇1.0版本
发布时间:2019-11-27添加新东方美研助教号
回复【资料】获取
GMAT词汇/长难句/语法资料大全
发布时间:2019-11-27添加新东方美研助教号
回复【资料】获取
GMAT语文考试圣经(Bible)电子版
发布时间:2019-11-27关注新东方在线美研订阅号
回复【GMAT】获取
GMAT推理圣经PDF电子版
发布时间:2019-11-27添加新东方美研助教号
回复【资料】获取
GMAT考试OG五个版本题号对照表
发布时间:2019-11-27添加新东方美研助教号
回复【资料】获取
GMAT Ultimate Grammar电子书籍PDF
发布时间:2019-11-27添加新东方美研助教号
回复【资料】获取
添加美研助教号,
回复【GMAT】获取备考必看资料包

推荐阅读
GMAT数学对于大部分中国GMAT考生来说难度都不算太大,但是想要拿下满分还是有一定难度。尤其不少同学会败在GMAT专业词汇上。今天新东方在线gmat就来给大家盘点一下GMAT数学代数词汇之基本运算词汇。
来源 : 网络综合整理 2023-06-18 23:34:24 关键字 : GMAT数学代数词汇 GMAT词汇
GMAT数学对于大部分中国GMAT考生来说难度都不算太大,但是想要拿下满分还是有一定难度。尤其不少同学会败在GMAT专业词汇上。今天新东方在线gmat就来给大家盘点一下GMAT数学代数词汇之基本数学概率词汇。
来源 : 网络综合整理 2023-06-18 23:26:35 关键字 : GMAT数学代数词汇 GMAT词汇
GMAT数学对于大部分中国GMAT考生来说难度都不算太大,但是想要拿下满分还是有一定难度。尤其不少同学会败在GMAT专业词汇上。今天新东方在线gmat就来给大家盘点一下GMAT数学高频词汇之代数数论词汇,赶紧记下来吧!
来源 : 网络综合整理 2023-06-18 23:19:56 关键字 : GMAT数学高频词汇 GMAT词汇
GMAT数学对于大部分中国GMAT考生来说难度都不算太大,但是想要拿下满分还是有一定难度。尤其不少同学会败在GMAT专业词汇上。今天新东方在线gmat就来给大家盘点一下GMAT数学高频词汇之代数词汇,赶紧记下来吧!
来源 : 网络综合整理 2023-03-03 23:45:37 关键字 : GMAT数学高频词汇 GMAT词汇
GMAT数学对于大部分中国GMAT考生来说难度都不算太大,但是想要拿下满分还是有一定难度。尤其不少同学会败在GMAT专业词汇上。今天新东方在线gmat就来给大家盘点一下GMAT数学高频词汇之数论词汇,赶紧记下来吧!
来源 : 网络综合整理 2023-03-03 23:42:33 关键字 : GMAT数学高频词汇 GMAT词汇
GMAT数学对于大部分中国GMAT考生来说难度都不算太大,但是想要拿下满分还是有一定难度。尤其不少同学会败在GMAT专业词汇上。今天新东方在线gmat就来给大家盘点一下GMAT数学高频词汇之几何,赶紧记下来吧!
来源 : 网络综合整理 2023-02-24 20:39:54 关键字 : GMAT数学高频词汇 GMAT词汇
GMAT数学对于大部分中国GMAT考生来说难度都不算太大,但是想要拿下满分还是有一定难度。尤其不少同学会败在GMAT专业词汇上。今天新东方在线gmat就来给大家盘点一下GMAT数学高频词汇之代数,赶紧记下来吧!
来源 : 网络综合整理 2023-02-24 20:38:08 关键字 : GMAT数学高频词汇 GMAT词汇
GMAT数学对于大部分中国GMAT考生来说难度都不算太大,但是想要拿下满分还是有一定难度。尤其不少同学会败在GMAT专业词汇上。今天新东方在线gmat就来给大家盘点一下GMAT数学高频词汇之算术,赶紧记下来吧!
来源 : 网络综合整理 2023-02-24 20:16:43 关键字 : GMAT数学高频词汇 GMAT词汇
新东方在线GMAT频道为大家带来GMAT数学答题注意点,希望对大家GMAT备考有所帮助。更多精彩尽请关注新东方在线GMAT频道! 1、度量单位
新东方在线GMAT频道为大家带来GMAT数学专用词汇,希望对大家GMAT备考有所帮助。更多精彩尽请关注新东方在线GMAT频道! Absolute val
GRE录播课(全科班/单项班)
GMAT6-8人直播VIP小班
托福直播精讲班(30天/60天)
资料下载
添加新东方美研助教号
回复【资料】获取
添加新东方美研助教号
回复【资料】获取
添加新东方美研助教号
回复【资料】获取
添加新东方美研助教号
回复【资料】获取
添加新东方美研助教号
回复【资料】获取
添加新东方美研助教号
回复【资料】获取
添加新东方美研助教号
回复【资料】获取
添加新东方美研助教号
回复【资料】获取
添加新东方美研助教号
回复【资料】获取
关注新东方在线美研订阅号
回复【GMAT】获取
添加新东方美研助教号
回复【资料】获取
添加新东方美研助教号
回复【资料】获取
添加新东方美研助教号
回复【资料】获取
阅读排行榜
相关内容