选课中心
7099人选课
GMAT公开讲座
0元
GRE公开讲座
0元
一对一体验课
99元
GMAT模考网站
10000人
GRE模考网站
GMAT课程
GRE课程
托福辅导课程
【定制】1v1
私人订制
资料下载
考前冲刺
扫码添加助教
免费领取
备考资料大礼包
扫码关注公众号
新东方在线为大家精心整理了GMAT数学知识与技巧总结:数据充分性的相关内容,供大家参考,希望对大家有所帮助!
1.约定:
A为(1)充分,(2)不充分。
B为(1)不充分,(2)充分。
C为(1)和(2)在一起充分,但分别不充分。
D为(1)和(2)自己分别充分。
E为(1)和(2)在一起也不充分。
做题阶段:
第一阶段:先看条件(1),只要(1)充分,答案不是A就是D
再看条件(2),只要(2)充分,答案不是B就是D
如果(1)(2)都充分,则答案一定是D
如果一个充分一个不充分,答案就是A或者B
(只要(1)不充分,答案肯定不是A或者D)
第二阶段:C是好的,E是坏的
2.做题步骤。
1) 读题干,若是文字题,必须列出相应的式子。
2) 先单独看(1),(2)是否充分,若分别都充分,选D;若其中一个充分,则选A或B。
3) 若都不充分,则看(1)和(2)加在一起是否充分,若充分,则C;否则选E。
3. 特点。
1) 不需要求出具体值,只需要知道求出即可。
例:买一打(12个)罐装汤,问降低后的价格比起原价格便宜多少? (C)
(1)原价一美元三个。 ×
(2)降低后的价格一美元三个。 ×
2) 字母不代表具体的值,应确定字母的值以后,才决定充分与否。
例:W- w >0? (E)
(1) W= a+ b ×
(2) w = a- b ×
3) 选C时应该注意是否可选A或B。
例:
(A)
(1)|x|=2 √
(2)x>0 ×
4) 唯一性。
例:x=? (A)
(1)x=2 √
(2)
×
练习:蓝皮书234页114题
114. Pam and Ed are in a line to purchase tickets. How many people are in line?(E)
(1) There are 20 people behind Pam and 20 people in front of Ed. ×
(2) There are 5 people between Pam and Ed. ×
5) 不矛盾性。
例:两辆火车相对行驶,同时开出,距离500英里,问多长时间后相遇?(C)
(1)其中一辆速度为200英里每小时。
(2)其中一辆速度为300英里每小时。
6) 否定性。
例:x>0? (B)
白皮书17页例题
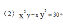
例:若n=kp且p>0,k>p? (D)


(1)xy=6
(2)x-y= -5
例4:(根不唯一,结果唯一)已知 ,那么xy(x+y)=? (D)
(2)
例题讲解:
蓝皮书233页106题
106. Is the positive integer n equal to the square of an integer? (B)
(1) For every prime number p, if p is a divisor of n, then so is . ×
(2) is an integer. √
注意:如果一个数是一个完全平方数,那么它的因子的个数一定是奇数
问一个数有多少个因子,先把它进行质因子表达展开,然后乘以(指数+1)即可
假如一个数有奇数个因子,那么这个数一定是另一个数的平方
蓝皮书234页111题
111.If x and y are positive integers and x is a multiple of y, is y =2? (C)
(1) y≠1.
(2) x+2 is a multiple of y.
笔记:两个相差为m的自然数,其公因子一定是m的约数。
推论:两个相邻的自然数一定互质。
两个相邻的奇数一定互为质数。
两个相邻的偶数最大公约数一定是2。
蓝皮书234页113题
113. If x and y are integers between 10 and 99, inclusive, is an integer? (A)
(1) x and y have the same two digits, but in reverse order. √
(2) the tens’ digit of x is 2 more than the units digit, and the tens digit of y is 2 less than the units digit. ×
蓝皮书235页122题
122. If ⊙ denotes a mathematical operation ,does x⊙y=y⊙x for all x and y? (A)
(1) For all x and y, x⊙y= .
(2) For all y, 0⊙y=
124.If n is an integer, is an integer? (B)
(1) is an integer ×
(2) is an integer √
蓝皮书236页134题
134. A total of 774 doctorates in mathematics were granted to United States citizens by American universities in the 1972-1973 school year, and W of these doctorates were granted to women. The total of such doctorates in the 1986-1987 school year was 362, and w of these were granted to women. If the number of doctorates in mathematics granted to female citizens of the United States by American universities decreased from the 1972-1973 school year to the 1986-1987 school year, was the decrease less than 10 percent? (C)
(1) (2) W=w+5
以上就是新东方在线为大家总结的GMAT数学知识与技巧总结:数据充分性的相关内容,最后预祝大家在GMAT考试中取得优异的成绩!
| GMAT直播VIP小班 | GMAT直播精讲班 | GMAT录播课 |
| (VIP小班/全科班+1对1) | (全科精讲/单项备考) | (全科班/单项班) |
| 72.5课时 ¥18800 | 61课时 ¥7796 | 134课时 ¥14680 |
本文关键字: GMAT数学备考要点 GMAT数学备考指导
资料下载
新东方GMAT佛脚词汇1.0版本
发布时间:2023-06-30添加新东方美研助教号
回复【资料】获取
新东方GMAT数学500题资料下载
发布时间:2023-05-26添加新东方美研助教号
回复【资料】获取
新东方GMAT800题资料下载
发布时间:2022-05-21添加新东方美研助教号
回复【资料】获取
1000句GMAT真实句子改错问题
发布时间:2022-04-17添加新东方美研助教号
回复【资料】获取
2024杨鹏阅读难句(GMAT+GRE)教程
发布时间:2022-04-17添加新东方美研助教号
回复【资料】获取
新东方GMAT数学500题(解析及答案)
发布时间:2019-11-27添加新东方美研助教号
回复【资料】获取
新东方GMAT800题(逻辑+语法+阅读)
发布时间:2019-11-27添加新东方美研助教号
回复【资料】获取
新东方GMAT佛脚词汇1.0版本
发布时间:2019-11-27添加新东方美研助教号
回复【资料】获取
GMAT词汇/长难句/语法资料大全
发布时间:2019-11-27添加新东方美研助教号
回复【资料】获取
GMAT语文考试圣经(Bible)电子版
发布时间:2019-11-27关注新东方在线美研订阅号
回复【GMAT】获取
GMAT推理圣经PDF电子版
发布时间:2019-11-27添加新东方美研助教号
回复【资料】获取
GMAT考试OG五个版本题号对照表
发布时间:2019-11-27添加新东方美研助教号
回复【资料】获取
GMAT Ultimate Grammar电子书籍PDF
发布时间:2019-11-27添加新东方美研助教号
回复【资料】获取
添加美研助教号,
回复【GMAT】获取备考必看资料包

推荐阅读
GMAT数学对于大部分中国GMAT考生来说难度都不算太大,但是想要拿下满分还是有一定难度。尤其不少同学会败在GMAT专业词汇上。今天新东方在线gmat就来给大家盘点一下GMAT数学代数词汇之基本运算词汇。
来源 : 网络综合整理 2023-06-18 23:34:24 关键字 : GMAT数学代数词汇 GMAT词汇
GMAT数学对于大部分中国GMAT考生来说难度都不算太大,但是想要拿下满分还是有一定难度。尤其不少同学会败在GMAT专业词汇上。今天新东方在线gmat就来给大家盘点一下GMAT数学代数词汇之基本数学概率词汇。
来源 : 网络综合整理 2023-06-18 23:26:35 关键字 : GMAT数学代数词汇 GMAT词汇
GMAT数学对于大部分中国GMAT考生来说难度都不算太大,但是想要拿下满分还是有一定难度。尤其不少同学会败在GMAT专业词汇上。今天新东方在线gmat就来给大家盘点一下GMAT数学高频词汇之代数数论词汇,赶紧记下来吧!
来源 : 网络综合整理 2023-06-18 23:19:56 关键字 : GMAT数学高频词汇 GMAT词汇
GMAT数学对于大部分中国GMAT考生来说难度都不算太大,但是想要拿下满分还是有一定难度。尤其不少同学会败在GMAT专业词汇上。今天新东方在线gmat就来给大家盘点一下GMAT数学高频词汇之代数词汇,赶紧记下来吧!
来源 : 网络综合整理 2023-03-03 23:45:37 关键字 : GMAT数学高频词汇 GMAT词汇
GMAT数学对于大部分中国GMAT考生来说难度都不算太大,但是想要拿下满分还是有一定难度。尤其不少同学会败在GMAT专业词汇上。今天新东方在线gmat就来给大家盘点一下GMAT数学高频词汇之数论词汇,赶紧记下来吧!
来源 : 网络综合整理 2023-03-03 23:42:33 关键字 : GMAT数学高频词汇 GMAT词汇
GMAT数学对于大部分中国GMAT考生来说难度都不算太大,但是想要拿下满分还是有一定难度。尤其不少同学会败在GMAT专业词汇上。今天新东方在线gmat就来给大家盘点一下GMAT数学高频词汇之几何,赶紧记下来吧!
来源 : 网络综合整理 2023-02-24 20:39:54 关键字 : GMAT数学高频词汇 GMAT词汇
GMAT数学对于大部分中国GMAT考生来说难度都不算太大,但是想要拿下满分还是有一定难度。尤其不少同学会败在GMAT专业词汇上。今天新东方在线gmat就来给大家盘点一下GMAT数学高频词汇之代数,赶紧记下来吧!
来源 : 网络综合整理 2023-02-24 20:38:08 关键字 : GMAT数学高频词汇 GMAT词汇
GMAT数学对于大部分中国GMAT考生来说难度都不算太大,但是想要拿下满分还是有一定难度。尤其不少同学会败在GMAT专业词汇上。今天新东方在线gmat就来给大家盘点一下GMAT数学高频词汇之算术,赶紧记下来吧!
来源 : 网络综合整理 2023-02-24 20:16:43 关键字 : GMAT数学高频词汇 GMAT词汇
新东方在线GMAT频道为大家带来GMAT数学答题注意点,希望对大家GMAT备考有所帮助。更多精彩尽请关注新东方在线GMAT频道! 1、度量单位
新东方在线GMAT频道为大家带来GMAT数学专用词汇,希望对大家GMAT备考有所帮助。更多精彩尽请关注新东方在线GMAT频道! Absolute val
GRE录播课(全科班/单项班)
GMAT6-8人直播VIP小班
托福直播精讲班(30天/60天)
资料下载
添加新东方美研助教号
回复【资料】获取
添加新东方美研助教号
回复【资料】获取
添加新东方美研助教号
回复【资料】获取
添加新东方美研助教号
回复【资料】获取
添加新东方美研助教号
回复【资料】获取
添加新东方美研助教号
回复【资料】获取
添加新东方美研助教号
回复【资料】获取
添加新东方美研助教号
回复【资料】获取
添加新东方美研助教号
回复【资料】获取
关注新东方在线美研订阅号
回复【GMAT】获取
添加新东方美研助教号
回复【资料】获取
添加新东方美研助教号
回复【资料】获取
添加新东方美研助教号
回复【资料】获取
阅读排行榜
相关内容