选课中心
7099人选课
GMAT公开讲座
0元
GRE公开讲座
0元
一对一体验课
99元
GMAT模考网站
10000人
GRE模考网站
GMAT课程
GRE课程
托福辅导课程
【定制】1v1
私人订制
资料下载
考前冲刺
扫码添加助教
免费领取
备考资料大礼包
扫码关注公众号
新东方在线为大家精心整理了GMAT考试数学几何部分知识点的相关内容,供大家参考,希望对大家有所帮助!
3.1 平面几何
1.直角三角形勾股定理。
a2+b2=c2
2.两直线平行,内错角相等,同位角相等。
3.圆心角是圆周角的两倍。
4.面积与周长。
①三角形(边长为a,b,c):
面积=1/2 absinγ(γ是a,b两边之夹角)
对于直角三角形,γ=90°,S直角三角形=
。
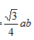
对于等边三角形,γ=60°,S等边三角形=
。
周长=a+b+c
②梯形(上底为a,下底为b,高为h)
面积=(a+b)×h/2
③平行四边形(边长为a,b,高为h)
面积=a×h
周长=2(a+b)
④矩形(边长为a,b)
面积=a×b
周长=2(a+b)
⑤正方形(边长为a)
面积=a2
周长=4a
⑥圆(半径为R)
面积=πR2
周长=2πR
5.多边形内角和:(n-2)180º
3.2 立体几何
体积和表面积:
1.长方体(边长为a,b,c)
体积=a×b×c
表面积=2(a×b+b×c+c×a)
2.正方体(立方体)(边长为 a)
体积=a3
表面积=6a2
3.圆柱(底面半径为R,高为h)
体积=πR2h
表面积=2πR2+2πR×h
3.3解析几何
1.关于对称。
①坐标(a,b)关于y=x的对称点为(b,a)
②坐标(a,b)关于y=-x的对称点为(-b,-a)
2.直线方程。
①y=kx+b (斜截式,k为斜率slope,b为截距intercept)
②x/a + y/b =1 (截距式,a为x轴上截距,b为y轴上截距)
③(y-y2)/( x-x2) = (y1-y2)/(x1-x2)(两点式,已知(x1,y1),(x2,y2))
④(y-y1)/(x-x1) =k (点斜式,已知(x1,y1),斜率k)
例:请写出x轴与y轴上截距分别为20和30的直线方程在x,y≥0条件下的整数解。
以上就是新东方在线为大家总结的GMAT考试数学几何部分知识点的相关内容,最后预祝大家在GMAT考试中取得优异的成绩!
| GMAT直播VIP小班 | GMAT直播精讲班 | GMAT录播课 |
| (VIP小班/全科班+1对1) | (全科精讲/单项备考) | (全科班/单项班) |
| 72.5课时 ¥18800 | 61课时 ¥7796 | 134课时 ¥14680 |
本文关键字: GMAT数学备考要点 GMAT数学备考指导
资料下载
新东方GMAT佛脚词汇1.0版本
发布时间:2023-06-30添加新东方美研助教号
回复【资料】获取
新东方GMAT数学500题资料下载
发布时间:2023-05-26添加新东方美研助教号
回复【资料】获取
新东方GMAT800题资料下载
发布时间:2022-05-21添加新东方美研助教号
回复【资料】获取
1000句GMAT真实句子改错问题
发布时间:2022-04-17添加新东方美研助教号
回复【资料】获取
2024杨鹏阅读难句(GMAT+GRE)教程
发布时间:2022-04-17添加新东方美研助教号
回复【资料】获取
新东方GMAT数学500题(解析及答案)
发布时间:2019-11-27添加新东方美研助教号
回复【资料】获取
新东方GMAT800题(逻辑+语法+阅读)
发布时间:2019-11-27添加新东方美研助教号
回复【资料】获取
新东方GMAT佛脚词汇1.0版本
发布时间:2019-11-27添加新东方美研助教号
回复【资料】获取
GMAT词汇/长难句/语法资料大全
发布时间:2019-11-27添加新东方美研助教号
回复【资料】获取
GMAT语文考试圣经(Bible)电子版
发布时间:2019-11-27关注新东方在线美研订阅号
回复【GMAT】获取
GMAT推理圣经PDF电子版
发布时间:2019-11-27添加新东方美研助教号
回复【资料】获取
GMAT考试OG五个版本题号对照表
发布时间:2019-11-27添加新东方美研助教号
回复【资料】获取
GMAT Ultimate Grammar电子书籍PDF
发布时间:2019-11-27添加新东方美研助教号
回复【资料】获取
添加美研助教号,
回复【GMAT】获取备考必看资料包

推荐阅读
GMAT数学对于大部分中国GMAT考生来说难度都不算太大,但是想要拿下满分还是有一定难度。尤其不少同学会败在GMAT专业词汇上。今天新东方在线gmat就来给大家盘点一下GMAT数学代数词汇之基本运算词汇。
来源 : 网络综合整理 2023-06-18 23:34:24 关键字 : GMAT数学代数词汇 GMAT词汇
GMAT数学对于大部分中国GMAT考生来说难度都不算太大,但是想要拿下满分还是有一定难度。尤其不少同学会败在GMAT专业词汇上。今天新东方在线gmat就来给大家盘点一下GMAT数学代数词汇之基本数学概率词汇。
来源 : 网络综合整理 2023-06-18 23:26:35 关键字 : GMAT数学代数词汇 GMAT词汇
GMAT数学对于大部分中国GMAT考生来说难度都不算太大,但是想要拿下满分还是有一定难度。尤其不少同学会败在GMAT专业词汇上。今天新东方在线gmat就来给大家盘点一下GMAT数学高频词汇之代数数论词汇,赶紧记下来吧!
来源 : 网络综合整理 2023-06-18 23:19:56 关键字 : GMAT数学高频词汇 GMAT词汇
GMAT数学对于大部分中国GMAT考生来说难度都不算太大,但是想要拿下满分还是有一定难度。尤其不少同学会败在GMAT专业词汇上。今天新东方在线gmat就来给大家盘点一下GMAT数学高频词汇之代数词汇,赶紧记下来吧!
来源 : 网络综合整理 2023-03-03 23:45:37 关键字 : GMAT数学高频词汇 GMAT词汇
GMAT数学对于大部分中国GMAT考生来说难度都不算太大,但是想要拿下满分还是有一定难度。尤其不少同学会败在GMAT专业词汇上。今天新东方在线gmat就来给大家盘点一下GMAT数学高频词汇之数论词汇,赶紧记下来吧!
来源 : 网络综合整理 2023-03-03 23:42:33 关键字 : GMAT数学高频词汇 GMAT词汇
GMAT数学对于大部分中国GMAT考生来说难度都不算太大,但是想要拿下满分还是有一定难度。尤其不少同学会败在GMAT专业词汇上。今天新东方在线gmat就来给大家盘点一下GMAT数学高频词汇之几何,赶紧记下来吧!
来源 : 网络综合整理 2023-02-24 20:39:54 关键字 : GMAT数学高频词汇 GMAT词汇
GMAT数学对于大部分中国GMAT考生来说难度都不算太大,但是想要拿下满分还是有一定难度。尤其不少同学会败在GMAT专业词汇上。今天新东方在线gmat就来给大家盘点一下GMAT数学高频词汇之代数,赶紧记下来吧!
来源 : 网络综合整理 2023-02-24 20:38:08 关键字 : GMAT数学高频词汇 GMAT词汇
GMAT数学对于大部分中国GMAT考生来说难度都不算太大,但是想要拿下满分还是有一定难度。尤其不少同学会败在GMAT专业词汇上。今天新东方在线gmat就来给大家盘点一下GMAT数学高频词汇之算术,赶紧记下来吧!
来源 : 网络综合整理 2023-02-24 20:16:43 关键字 : GMAT数学高频词汇 GMAT词汇
新东方在线GMAT频道为大家带来GMAT数学答题注意点,希望对大家GMAT备考有所帮助。更多精彩尽请关注新东方在线GMAT频道! 1、度量单位
新东方在线GMAT频道为大家带来GMAT数学专用词汇,希望对大家GMAT备考有所帮助。更多精彩尽请关注新东方在线GMAT频道! Absolute val
GRE录播课(全科班/单项班)
GMAT6-8人直播VIP小班
托福直播精讲班(30天/60天)
资料下载
添加新东方美研助教号
回复【资料】获取
添加新东方美研助教号
回复【资料】获取
添加新东方美研助教号
回复【资料】获取
添加新东方美研助教号
回复【资料】获取
添加新东方美研助教号
回复【资料】获取
添加新东方美研助教号
回复【资料】获取
添加新东方美研助教号
回复【资料】获取
添加新东方美研助教号
回复【资料】获取
添加新东方美研助教号
回复【资料】获取
关注新东方在线美研订阅号
回复【GMAT】获取
添加新东方美研助教号
回复【资料】获取
添加新东方美研助教号
回复【资料】获取
添加新东方美研助教号
回复【资料】获取
阅读排行榜
相关内容