选课中心
7099人选课
GMAT公开讲座
0元
GRE公开讲座
0元
一对一体验课
99元
GMAT模考网站
10000人
GRE模考网站
GMAT课程
GRE课程
托福辅导课程
【定制】1v1
私人订制
资料下载
考前冲刺
扫码添加助教
免费领取
备考资料大礼包
扫码关注公众号
新东方在线为大家精心整理了GMAT考试数学统计部分知识点的相关内容,供大家参考,希望对大家有所帮助!
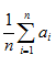
1. 算术平均数(arithmetic mean)。
E=
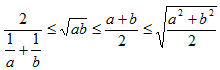
当a, b>0时,下式成立,当a=b时取等号。

调和平均,
几何平均,
算术平均,
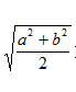
加权平均或平方平均
例:蓝皮书P147--96
What is the average (arithmetic mean )of the numbers 15,16,17,17,18,and 19?
(A)14.2
(B)16.5
(C)17
(D)17.5
(E)18
例:蓝皮书P155--146
A student's average (arithmetic mean) test score on 4 tests is 78.What must be the
student's score on a 5th tset for the student's average score on the 5 tests to be
80 ?
(A)80
(B)82
(C)84
(D)86
(E)88
2. 期望(expectation)
在GMAT数学中,期望就是算术平均。通常计算出来的算术平均都用E表示,这个E就是期
望英文的第一个字母大写。
3. 偏差(deviation)
一个数列中ai项的偏差di=ai-E
4. 方差(variance)
D= 
缺陷:单位有平方
5. 标准差(standard deviation)
σ= 
6. 中间数(median)
求法:先排序,后取中。比如说一个数列{1,2,4,5,3},求它的中间数时,应该先排序变成{1,2,3,4,5},然后取中为3。如果数列含有偶数个数,取中间两个数,然后取这两个数的算术平均。
例:蓝皮书P221—564
For the positive numbers n,n+1,n+2,n+4 and n+8 , the mean is how much greater than
the median ?
(A)0
(B)1
(C)n+1
(D)n+2
(E)n+3
7. 众数(mode)
定义:数列中出现次数最多的数。比如说一个数列{1,1,2,2,3},它的众数或者是1或者是2。
例:白皮书P31—7
求下图的median score。

例:黄皮书P21--6 A marketing firm determined that,of 200 households surveyed, 80used neither Brand
A nor Brand B soap,60 used only Brand A soap. and for every household that used
both brands of soap,3 used only Brand B soap. How many of the 200 households surveyed
used both brands of soap?
(A)15
(B)20
(C)30
(D)40
(E)45
8. 范围(range)
定义:数列中最大数减去最小数所得的差。
以上就是新东方在线为大家总结的GMAT考试数学统计部分知识点的相关内容,最后预祝大家在GMAT考试中取得优异的成绩!
| GMAT直播VIP小班 | GMAT直播精讲班 | GMAT录播课 |
| (VIP小班/全科班+1对1) | (全科精讲/单项备考) | (全科班/单项班) |
| 72.5课时 ¥18800 | 61课时 ¥7796 | 134课时 ¥14680 |
本文关键字: GMAT数学备考要点 GMAT数学备考指导
资料下载
新东方GMAT佛脚词汇1.0版本
发布时间:2023-06-30添加新东方美研助教号
回复【资料】获取
新东方GMAT数学500题资料下载
发布时间:2023-05-26添加新东方美研助教号
回复【资料】获取
新东方GMAT800题资料下载
发布时间:2022-05-21添加新东方美研助教号
回复【资料】获取
1000句GMAT真实句子改错问题
发布时间:2022-04-17添加新东方美研助教号
回复【资料】获取
2024杨鹏阅读难句(GMAT+GRE)教程
发布时间:2022-04-17添加新东方美研助教号
回复【资料】获取
新东方GMAT数学500题(解析及答案)
发布时间:2019-11-27添加新东方美研助教号
回复【资料】获取
新东方GMAT800题(逻辑+语法+阅读)
发布时间:2019-11-27添加新东方美研助教号
回复【资料】获取
新东方GMAT佛脚词汇1.0版本
发布时间:2019-11-27添加新东方美研助教号
回复【资料】获取
GMAT词汇/长难句/语法资料大全
发布时间:2019-11-27添加新东方美研助教号
回复【资料】获取
GMAT语文考试圣经(Bible)电子版
发布时间:2019-11-27关注新东方在线美研订阅号
回复【GMAT】获取
GMAT推理圣经PDF电子版
发布时间:2019-11-27添加新东方美研助教号
回复【资料】获取
GMAT考试OG五个版本题号对照表
发布时间:2019-11-27添加新东方美研助教号
回复【资料】获取
GMAT Ultimate Grammar电子书籍PDF
发布时间:2019-11-27添加新东方美研助教号
回复【资料】获取
添加美研助教号,
回复【GMAT】获取备考必看资料包

推荐阅读
GMAT数学对于大部分中国GMAT考生来说难度都不算太大,但是想要拿下满分还是有一定难度。尤其不少同学会败在GMAT专业词汇上。今天新东方在线gmat就来给大家盘点一下GMAT数学代数词汇之基本运算词汇。
来源 : 网络综合整理 2023-06-18 23:34:24 关键字 : GMAT数学代数词汇 GMAT词汇
GMAT数学对于大部分中国GMAT考生来说难度都不算太大,但是想要拿下满分还是有一定难度。尤其不少同学会败在GMAT专业词汇上。今天新东方在线gmat就来给大家盘点一下GMAT数学代数词汇之基本数学概率词汇。
来源 : 网络综合整理 2023-06-18 23:26:35 关键字 : GMAT数学代数词汇 GMAT词汇
GMAT数学对于大部分中国GMAT考生来说难度都不算太大,但是想要拿下满分还是有一定难度。尤其不少同学会败在GMAT专业词汇上。今天新东方在线gmat就来给大家盘点一下GMAT数学高频词汇之代数数论词汇,赶紧记下来吧!
来源 : 网络综合整理 2023-06-18 23:19:56 关键字 : GMAT数学高频词汇 GMAT词汇
GMAT数学对于大部分中国GMAT考生来说难度都不算太大,但是想要拿下满分还是有一定难度。尤其不少同学会败在GMAT专业词汇上。今天新东方在线gmat就来给大家盘点一下GMAT数学高频词汇之代数词汇,赶紧记下来吧!
来源 : 网络综合整理 2023-03-03 23:45:37 关键字 : GMAT数学高频词汇 GMAT词汇
GMAT数学对于大部分中国GMAT考生来说难度都不算太大,但是想要拿下满分还是有一定难度。尤其不少同学会败在GMAT专业词汇上。今天新东方在线gmat就来给大家盘点一下GMAT数学高频词汇之数论词汇,赶紧记下来吧!
来源 : 网络综合整理 2023-03-03 23:42:33 关键字 : GMAT数学高频词汇 GMAT词汇
GMAT数学对于大部分中国GMAT考生来说难度都不算太大,但是想要拿下满分还是有一定难度。尤其不少同学会败在GMAT专业词汇上。今天新东方在线gmat就来给大家盘点一下GMAT数学高频词汇之几何,赶紧记下来吧!
来源 : 网络综合整理 2023-02-24 20:39:54 关键字 : GMAT数学高频词汇 GMAT词汇
GMAT数学对于大部分中国GMAT考生来说难度都不算太大,但是想要拿下满分还是有一定难度。尤其不少同学会败在GMAT专业词汇上。今天新东方在线gmat就来给大家盘点一下GMAT数学高频词汇之代数,赶紧记下来吧!
来源 : 网络综合整理 2023-02-24 20:38:08 关键字 : GMAT数学高频词汇 GMAT词汇
GMAT数学对于大部分中国GMAT考生来说难度都不算太大,但是想要拿下满分还是有一定难度。尤其不少同学会败在GMAT专业词汇上。今天新东方在线gmat就来给大家盘点一下GMAT数学高频词汇之算术,赶紧记下来吧!
来源 : 网络综合整理 2023-02-24 20:16:43 关键字 : GMAT数学高频词汇 GMAT词汇
新东方在线GMAT频道为大家带来GMAT数学答题注意点,希望对大家GMAT备考有所帮助。更多精彩尽请关注新东方在线GMAT频道! 1、度量单位
新东方在线GMAT频道为大家带来GMAT数学专用词汇,希望对大家GMAT备考有所帮助。更多精彩尽请关注新东方在线GMAT频道! Absolute val
GRE录播课(全科班/单项班)
GMAT6-8人直播VIP小班
托福直播精讲班(30天/60天)
资料下载
添加新东方美研助教号
回复【资料】获取
添加新东方美研助教号
回复【资料】获取
添加新东方美研助教号
回复【资料】获取
添加新东方美研助教号
回复【资料】获取
添加新东方美研助教号
回复【资料】获取
添加新东方美研助教号
回复【资料】获取
添加新东方美研助教号
回复【资料】获取
添加新东方美研助教号
回复【资料】获取
添加新东方美研助教号
回复【资料】获取
关注新东方在线美研订阅号
回复【GMAT】获取
添加新东方美研助教号
回复【资料】获取
添加新东方美研助教号
回复【资料】获取
添加新东方美研助教号
回复【资料】获取
阅读排行榜
相关内容