选课中心
7099人选课
GMAT公开讲座
0元
GRE公开讲座
0元
一对一体验课
99元
GMAT模考网站
10000人
GRE模考网站
GMAT课程
GRE课程
托福辅导课程
【定制】1v1
私人订制
资料下载
考前冲刺
扫码添加助教
免费领取
备考资料大礼包
扫码关注公众号
GMAT数学
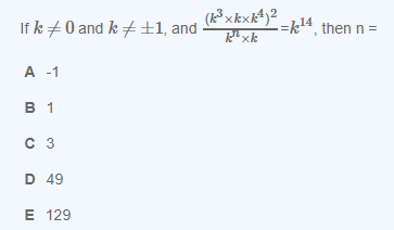
新东方在线GMAT频道为大家带来GMAT数学陌生符号题解题技巧,希望对大家GMAT备考有所帮助。更多精彩尽请关注新东方在线GMAT频道! 什么是陌生符号题 所谓陌生符号题,就是在题目中,...
资料下载
新东方GMAT佛脚词汇1.0版本
发布时间:2023-06-30添加新东方美研助教号
回复【资料】获取
新东方GMAT数学500题资料下载
发布时间:2023-05-26添加新东方美研助教号
回复【资料】获取
新东方GMAT800题资料下载
发布时间:2022-05-21添加新东方美研助教号
回复【资料】获取
1000句GMAT真实句子改错问题
发布时间:2022-04-17添加新东方美研助教号
回复【资料】获取
2024杨鹏阅读难句(GMAT+GRE)教程
发布时间:2022-04-17添加新东方美研助教号
回复【资料】获取
新东方GMAT数学500题(解析及答案)
发布时间:2019-11-27添加新东方美研助教号
回复【资料】获取
新东方GMAT800题(逻辑+语法+阅读)
发布时间:2019-11-27添加新东方美研助教号
回复【资料】获取
新东方GMAT佛脚词汇1.0版本
发布时间:2019-11-27添加新东方美研助教号
回复【资料】获取
GMAT词汇/长难句/语法资料大全
发布时间:2019-11-27添加新东方美研助教号
回复【资料】获取
GMAT语文考试圣经(Bible)电子版
发布时间:2019-11-27关注新东方在线美研订阅号
回复【GMAT】获取
GMAT推理圣经PDF电子版
发布时间:2019-11-27添加新东方美研助教号
回复【资料】获取
GMAT考试OG五个版本题号对照表
发布时间:2019-11-27添加新东方美研助教号
回复【资料】获取
GMAT Ultimate Grammar电子书籍PDF
发布时间:2019-11-27添加新东方美研助教号
回复【资料】获取
添加美研助教号,
回复【GMAT】获取备考必看资料包

GRE/GMAT直播精讲小班
GRE/GMAT精讲智能系统课
托福直播/精讲课(30天/60天)
资料下载
添加新东方美研助教号
回复【资料】获取
添加新东方美研助教号
回复【资料】获取
添加新东方美研助教号
回复【资料】获取
添加新东方美研助教号
回复【资料】获取
添加新东方美研助教号
回复【资料】获取
添加新东方美研助教号
回复【资料】获取
添加新东方美研助教号
回复【资料】获取
添加新东方美研助教号
回复【资料】获取
添加新东方美研助教号
回复【资料】获取
关注新东方在线美研订阅号
回复【GMAT】获取
添加新东方美研助教号
回复【资料】获取
添加新东方美研助教号
回复【资料】获取
添加新东方美研助教号
回复【资料】获取
阅读排行榜
相关内容